
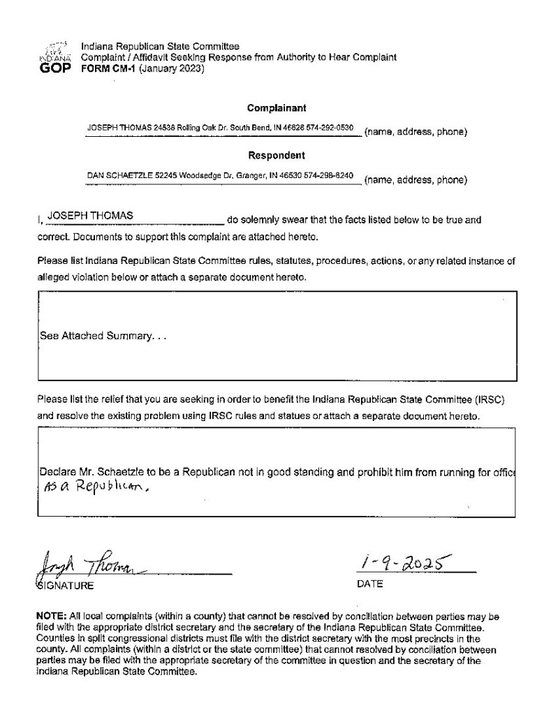
SOUTH BEND, Ind. — REAL News Michiana has obtained documents confirming a secret hearing will be held today to kick Republican St. Joseph County Councilman Dan Schaetzle out of the Republican Party. The hearing is in response to a formal complaint filed by another Republican St. Joseph County Councilman, Joe Thomas.
In his complaint, Thomas claims Schaetzle violated party rules for not supporting one or more Republican nominees in the 2024 election. The secret, closed door hearing is scheduled for 5:00pm today in the Notre Dame Conference Room of the Hilton Garden Inn in South Bend.

Sources tell RNM, Thomas is claiming Schaetzle violated party rules because he was critical of Republican Probate Judge Candidate Loris Zappia during the 2024 election cycle. During the election, it was uncovered that Zappia had lied about killing a Brother of Holy Cross in the 1980’s. Zappia also committed domestic battery against a family member during the summer of 2024. Schaetzle made a post to Facebook, denouncing many of Zappia’s actions during the campaign, but never endorsed his Democrat opponent.
The move being made by Thomas, with the help of the GOP establishment, could set a precedent to have ALL party members removed for lack of support of certain candidates. Nearly EVERY elected Republican in the region could soon have complaints filed for their removal.
It’s important to note, Schaetzle has been an integral part of the local party for nearly a decade. He helped build up the party as the Treasurer along with former Chair Zach Potts, who passed away in a traffic accident along with Congresswoman Jackie Walorski. He continued to help build and strengthen the party under Potts’ successor, former GOP Chair Tyler Gillean.
JOE THOMAS VOTES TO PUT ABORTIONIST IN CHARGE OF HEALTH DEPARTMENT
Since being elected to his position in 2022, Thomas has made several anti-conservative moves and votes, including a vote that would have stripped incentives away from industries to hire American and local workers for certain projects (Schaetzle was the only Republican to vote against the move). However, the biggest anti-conservative move by Thomas was putting an abortionist in charge of the St. Joseph County Department of Health.
In May of last year, Thomas joined all of the Democrat members of the council to ensure a radical abortion advocate was to become the county’s Health Officer. In a 5-4 vote, the County Council approved the appointment of Dr. Michell Migliore; Thomas was the only Republican to vote in favor.
Schaetzle was quick to speak out against Migliore’s appointment and disappointment in the move by his Republican counterpart.
“My (no) vote was solely based on Migliore’s past of helping to restart abortion in St. Joseph County and her handling of COVID mandates (as a member of the health board).” Republican Councilman Dan Schaetzle said regarding his vote against Migliore’s appointment.
MIGLORE HELPED START AN ABORTION CLINIC IN SOUTH BEND

Abortion in St. Joseph County ended in 2015. At the time, the State revoked the doctor’s license for the provider at the South Bend Women’s Pavilion which ceased operations the following spring. The clinic had operated for almost 40 years. The on-site abortionist, Dr. Ulrich “George” Klopfer, was later found to have stored the remains of more than 2,200 fetuses in his Illinois home. The discovery was made by Klopfer’s family upon his death.
Without an abortion provider in the county, women had to travel Chicago or Merrillville to receive an abortion for several years. Then, in the summer of 2019, abortion returned to the county thanks in part to the efforts of Dr. Michelle Migliore. Migliore signed an emergency services agreement that allowed abortionist Dr. Jeffrey Glazer to circumvent the rule that requires a doctor to be part of a local health system in order to perform abortions in the county.
The agreement, signed in December of 2018, said Migliore agreed “to accept referrals from Dr. Jeffrey Glazer for patients who may require evaluation, treatment or follow up care from any complications from services provided at Whole Woman’s Health of South Bend.”
The Whole Woman’s Health abortion clinic opened in South Bend on Lincoln Way West the following summer. Glazer was the only abortionist on site when the clinic opened. Whole Woman’s Health only ceased operations following Indiana’s new near total abortion ban.
SAVING GOP VICE CHAIR JOE LAYNE

REAL News has learned the complaint is also an attempt by the establishment to save the position of St. Joseph County GOP Vice Chair Marvin “Joe” Layne. Layne is currently being charged with Battery for shoving Schaetzle during a party meeting in November. As part of the criminal charges, a judge has levied a no-contact order against Layne, meaning he cannot attend any party meetings or functions in which Schaetzle attends. If Schaetzle were to be removed from the party, he’d have no right to attend any party functions and Layne could continue his work as Vice Chair.
On November 10th, RNM broke the story about Vice Chair of the St. Joseph County Republican Party, Joe Layne, violently attacking Republican County Councilman Dan Schaetzle during the party’s monthly meeting. In what was supposed to be a celebration of GOP wins this election cycle, some party members and party leaders instead used it to attack fellow conservatives both verbally and physically.
According to 20 different witnesses who spoke to RNM, the incident started when County Councilwoman Amy Drake took to the podium during the meeting to lambast fellow Republicans who do not agree with her platform (which includes defunding the St. Joseph County Police Department). Drake took direct aim at Schaetzle, who worked diligently to make sure our county officers got the raises they deserve. According to witnesses, Schaetzle called out Drake during her speech, attempting to correct several lies she was telling the audience of GOP members.
Schaetzle then took to the podium, where he passionately defended himself and a large faction of the party who has not been happy with the direction of the GOP’s leadership. After two minutes, Schaetzle was told his time was up. Schaetzle told the GOP leadership team that he was going to continue. At that point, GOP Vice Chair Joe Layne stood up and ripped the microphone out of Schaetzle’s hand, breaking it. Schaetzle then turned to speak to the audience without the microphone. At that point, Layne physically shoved Schaetzle.
The incident was caught on camera by radical school group leader, Ashley Leader, and later posted online by radio host Casey Hendrickson who is attempting to justify the attack. That video can be seen below.
According to witnesses, a well-known local MMA fighter (who RNM will not name) jumped into the middle of the two men, telling Layne to back off as it appeared he was going to continue his physical assault. Schaetzle said a few more words before leaving.
“It all started because of Amy Drake.” One witness told RNM. “Everyone was stunned. We were supposed to be celebrating, uniting under the wins. Drake just wanted to fight.”
“Adults should be able to disagree without violence.” Another witness told RNM. “Joe (Layne) should resign. I hope he’s charged with a crime, he definitely committed one.”
Schaetzle suffered from back injury during the incident and was hospitalized for a short time.
Following the incident in November, St. Joseph County GOP Chairwoman Jackie Horvath attempted to defend Layne’s actions, sending an email out to party members downplaying the incident.
“In an attempt to manage the situation, the vice chair intervened by removing the microphone. This action was not appropriate for our setting, and we apologize for any discomfort it may have caused.” Horvath wrote. “Our focus now must be on fostering unity within our party to effectively serve our constituents.”
Want to keep seeing the news the legacy media just won’t report? REAL News Michiana relies on member subscribers to keep going. As a subscriber, you’ll get an RNM mug and invites to special events. Help us continue to expose corruption and report on the news conservatives care about by subscribing here.



You can get emails from Schaetzle by signing up on his website
https://myemail.constantcontact.com/Liberty-and-Progress–St–Joseph-County-Government-News.html?soid=1141796507574&aid=iWqinFlk6rk
He sends out useful information; for example last year he informed us that there is a new state law where if you’ve lived in your home for 10 years and are over a certain age (I think it’s 55), you can cap your rent, I mean, property tax increases. The deadline was a few weeks ago, but you can apply for it next year if you qualify.